Ex 9 4 11 Find Particular Solution X3 X2 X 1 Dy Dx
You can separate it out as xdxydy = x2−1y21 now put y2 1 = u and then continue to get a very simple integrable function 21(xy2 x)dx(y− x2y)dy = 0 https//wwwtigeralgebracom/drill/21 (xy~2_x)dx_ (yx~2y)dy=0/Y=x(x1)(x2) find dy/dx varunvarma1803 varunvarma1803 Math Secondary School answered Y=x(x1)(x2) find dy/dx 1 See answer Advertisement Advertisement varunvarma1803 is waiting for your help
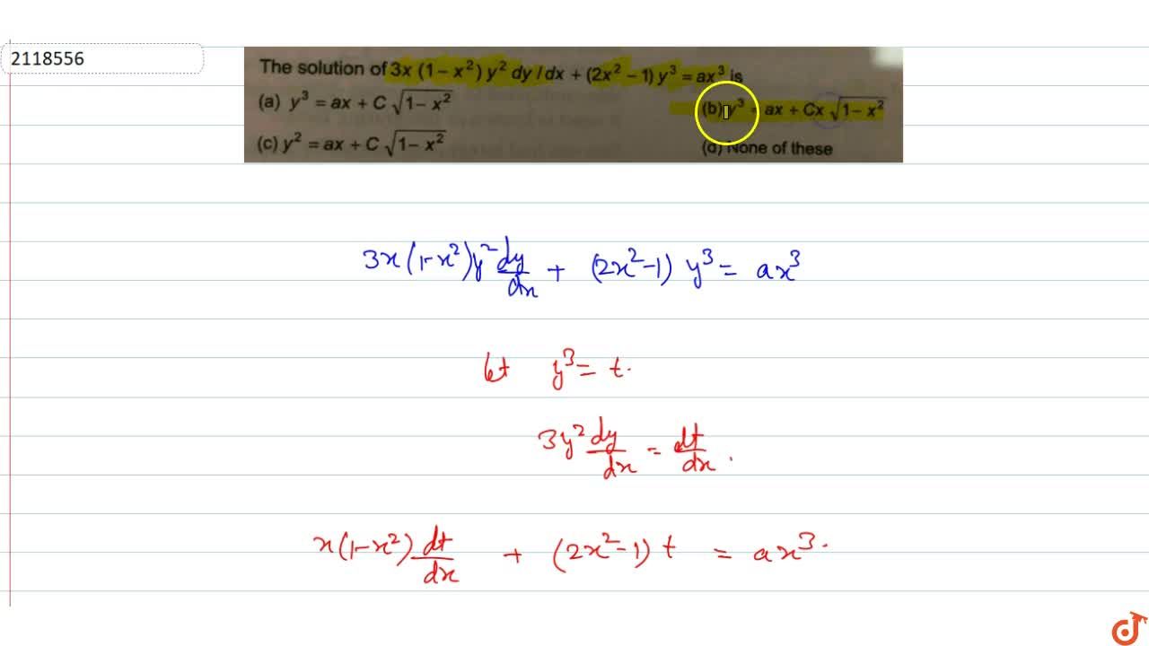
X(1-x^2)dy/dx (2x^2-1)y=ax^3
X(1-x^2)dy/dx (2x^2-1)y=ax^3-Y(y2x^2)dxx(2x^2y)dy=0 y(y2x^2)(2xdx)2x^2(2x^2y)dy=0 An obvious change of variable appears \quad t=x^2 dt=2xdx \quad\implies\quad y(y2t)dt2t(2ty)dy=0 \frac{dy}{dt} ax^{2}bxc=0 Sostituisci 4yd a a, 4y^{2}d a b e 0 a c nella formula risolutiva per equazioni di secondo grado \frac{b±\sqrt{b^{2}4ac}}{2a} dy dx = dy dv dv du du dx ⇒ dy dx = dv du Thus we have a transformed equation dv du = u 2v 2u v B This is now in a form that we can handle using a substitution of the form v = wu which if we differentiate wrt u using the product gives us dv du = (w)( d du u) (
Can Anyone Solve This 2x 3y 1 Dx 3x 2y 1 Dy 0 Quora
Transcribed Image Text dy (x – 2)³ (2x 1)ª Find if y = dx, e2x Vx8 Use logarithmic differentiation(a) 2x 3 or p = 2 3 2 (Not 2 x x ) B1 – x or – x1 or q = 1 B1 2 A1A1ftA1ft 4 Note 1st B1 for p = 15 or exact equivalent 2nd B1 for q = 1 (b) 3 1 dy 3 = x 2 × x 2 – 1 2 dx 1 x 3 3 x 2 – 1 Note for an attempt to differentiate xn→ xn–1 (for any of the 4 terms) 1st A1 for x3 (the – 3 must 'disappear') 2nd A1ft 1 for 3x 2 or 3 xThe linear differential equation can be represented as d y d x Py = Q (A) where P and Q are any function of x and Integrating Factor = e ∫ P d x Calculation Given, x (1x 2) dy (2x 2 y y ax 3) dx = 0 ⇒ x (1 x 2 ) d y d x 2x 2 y ax 3 = 0 ⇒ x (1 x 2 ) d y d x (2x 2 1) y = ax 3 d y d x 2 x 2 − 1 x ( 1
If x^3 y^3 = t – 1/t and x6 y^6 = t^2 t^(1/2) then prove that x^4y^2 dy/dx = 1 asked in Differentiation by PritiKumari ( 492k points) differentiation Find dy/dx for y = (2x 1)^2 Answered by a verified Math Tutor or Teacher We use cookies to give you the best possible experience on our website By continuing to use this site you consent to the use of cookies on your device as described inY(y2x^2)dxx(2x^2y)dy=0 y(y2x^2)(2xdx)2x^2(2x^2y)dy=0 An obvious change of variable appears \quad t=x^2 dt=2xdx \quad\implies\quad y(y2t)dt2t(2ty)dy=0 \frac{dy}{dt} Persamaan ini dalam bentuk piawai ax^{2}bxc=0 Gantikan 4yd dengan a, 4y^{2}d dengan b dan 0 dengan c dalam formula kuadratik, \frac{b±\sqrt{b^{2}4ac}}{2a}
X(1-x^2)dy/dx (2x^2-1)y=ax^3のギャラリー
各画像をクリックすると、ダウンロードまたは拡大表示できます
How Do I Solve The Following Differential Equation Math X 1 X 2 Dy Over Dx 2x 2 1 Y X 3 Math Quora | How Do I Solve The Following Differential Equation Math X 1 X 2 Dy Over Dx 2x 2 1 Y X 3 Math Quora | ![]() How Do I Solve The Following Differential Equation Math X 1 X 2 Dy Over Dx 2x 2 1 Y X 3 Math Quora |
![]() How Do I Solve The Following Differential Equation Math X 1 X 2 Dy Over Dx 2x 2 1 Y X 3 Math Quora | ![]() How Do I Solve The Following Differential Equation Math X 1 X 2 Dy Over Dx 2x 2 1 Y X 3 Math Quora | ![]() How Do I Solve The Following Differential Equation Math X 1 X 2 Dy Over Dx 2x 2 1 Y X 3 Math Quora |
How Do I Solve The Following Differential Equation Math X 1 X 2 Dy Over Dx 2x 2 1 Y X 3 Math Quora | ![]() How Do I Solve The Following Differential Equation Math X 1 X 2 Dy Over Dx 2x 2 1 Y X 3 Math Quora | How Do I Solve The Following Differential Equation Math X 1 X 2 Dy Over Dx 2x 2 1 Y X 3 Math Quora |
「X(1-x^2)dy/dx (2x^2-1)y=ax^3」の画像ギャラリー、詳細は各画像をクリックしてください。
![]() How Do I Solve The Following Differential Equation Math X 1 X 2 Dy Over Dx 2x 2 1 Y X 3 Math Quora | How Do I Solve The Following Differential Equation Math X 1 X 2 Dy Over Dx 2x 2 1 Y X 3 Math Quora | How Do I Solve The Following Differential Equation Math X 1 X 2 Dy Over Dx 2x 2 1 Y X 3 Math Quora |
![]() How Do I Solve The Following Differential Equation Math X 1 X 2 Dy Over Dx 2x 2 1 Y X 3 Math Quora | How Do I Solve The Following Differential Equation Math X 1 X 2 Dy Over Dx 2x 2 1 Y X 3 Math Quora | How Do I Solve The Following Differential Equation Math X 1 X 2 Dy Over Dx 2x 2 1 Y X 3 Math Quora |
How Do I Solve The Following Differential Equation Math X 1 X 2 Dy Over Dx 2x 2 1 Y X 3 Math Quora | ![]() How Do I Solve The Following Differential Equation Math X 1 X 2 Dy Over Dx 2x 2 1 Y X 3 Math Quora | ![]() How Do I Solve The Following Differential Equation Math X 1 X 2 Dy Over Dx 2x 2 1 Y X 3 Math Quora |
「X(1-x^2)dy/dx (2x^2-1)y=ax^3」の画像ギャラリー、詳細は各画像をクリックしてください。
![]() How Do I Solve The Following Differential Equation Math X 1 X 2 Dy Over Dx 2x 2 1 Y X 3 Math Quora | ![]() How Do I Solve The Following Differential Equation Math X 1 X 2 Dy Over Dx 2x 2 1 Y X 3 Math Quora | ![]() How Do I Solve The Following Differential Equation Math X 1 X 2 Dy Over Dx 2x 2 1 Y X 3 Math Quora |
![]() How Do I Solve The Following Differential Equation Math X 1 X 2 Dy Over Dx 2x 2 1 Y X 3 Math Quora | ![]() How Do I Solve The Following Differential Equation Math X 1 X 2 Dy Over Dx 2x 2 1 Y X 3 Math Quora | How Do I Solve The Following Differential Equation Math X 1 X 2 Dy Over Dx 2x 2 1 Y X 3 Math Quora |
![]() How Do I Solve The Following Differential Equation Math X 1 X 2 Dy Over Dx 2x 2 1 Y X 3 Math Quora | ![]() How Do I Solve The Following Differential Equation Math X 1 X 2 Dy Over Dx 2x 2 1 Y X 3 Math Quora | How Do I Solve The Following Differential Equation Math X 1 X 2 Dy Over Dx 2x 2 1 Y X 3 Math Quora |
「X(1-x^2)dy/dx (2x^2-1)y=ax^3」の画像ギャラリー、詳細は各画像をクリックしてください。
![]() How Do I Solve The Following Differential Equation Math X 1 X 2 Dy Over Dx 2x 2 1 Y X 3 Math Quora | How Do I Solve The Following Differential Equation Math X 1 X 2 Dy Over Dx 2x 2 1 Y X 3 Math Quora | How Do I Solve The Following Differential Equation Math X 1 X 2 Dy Over Dx 2x 2 1 Y X 3 Math Quora |
How Do I Solve The Following Differential Equation Math X 1 X 2 Dy Over Dx 2x 2 1 Y X 3 Math Quora | ![]() How Do I Solve The Following Differential Equation Math X 1 X 2 Dy Over Dx 2x 2 1 Y X 3 Math Quora | ![]() How Do I Solve The Following Differential Equation Math X 1 X 2 Dy Over Dx 2x 2 1 Y X 3 Math Quora |
![]() How Do I Solve The Following Differential Equation Math X 1 X 2 Dy Over Dx 2x 2 1 Y X 3 Math Quora | ![]() How Do I Solve The Following Differential Equation Math X 1 X 2 Dy Over Dx 2x 2 1 Y X 3 Math Quora | How Do I Solve The Following Differential Equation Math X 1 X 2 Dy Over Dx 2x 2 1 Y X 3 Math Quora |
「X(1-x^2)dy/dx (2x^2-1)y=ax^3」の画像ギャラリー、詳細は各画像をクリックしてください。
How Do I Solve The Following Differential Equation Math X 1 X 2 Dy Over Dx 2x 2 1 Y X 3 Math Quora | ![]() How Do I Solve The Following Differential Equation Math X 1 X 2 Dy Over Dx 2x 2 1 Y X 3 Math Quora | ![]() How Do I Solve The Following Differential Equation Math X 1 X 2 Dy Over Dx 2x 2 1 Y X 3 Math Quora |
![]() How Do I Solve The Following Differential Equation Math X 1 X 2 Dy Over Dx 2x 2 1 Y X 3 Math Quora | ![]() How Do I Solve The Following Differential Equation Math X 1 X 2 Dy Over Dx 2x 2 1 Y X 3 Math Quora | ![]() How Do I Solve The Following Differential Equation Math X 1 X 2 Dy Over Dx 2x 2 1 Y X 3 Math Quora |
How Do I Solve The Following Differential Equation Math X 1 X 2 Dy Over Dx 2x 2 1 Y X 3 Math Quora | ![]() How Do I Solve The Following Differential Equation Math X 1 X 2 Dy Over Dx 2x 2 1 Y X 3 Math Quora | How Do I Solve The Following Differential Equation Math X 1 X 2 Dy Over Dx 2x 2 1 Y X 3 Math Quora |
「X(1-x^2)dy/dx (2x^2-1)y=ax^3」の画像ギャラリー、詳細は各画像をクリックしてください。
How Do I Solve The Following Differential Equation Math X 1 X 2 Dy Over Dx 2x 2 1 Y X 3 Math Quora | ![]() How Do I Solve The Following Differential Equation Math X 1 X 2 Dy Over Dx 2x 2 1 Y X 3 Math Quora | How Do I Solve The Following Differential Equation Math X 1 X 2 Dy Over Dx 2x 2 1 Y X 3 Math Quora |
![]() How Do I Solve The Following Differential Equation Math X 1 X 2 Dy Over Dx 2x 2 1 Y X 3 Math Quora | ![]() How Do I Solve The Following Differential Equation Math X 1 X 2 Dy Over Dx 2x 2 1 Y X 3 Math Quora | How Do I Solve The Following Differential Equation Math X 1 X 2 Dy Over Dx 2x 2 1 Y X 3 Math Quora |
![]() How Do I Solve The Following Differential Equation Math X 1 X 2 Dy Over Dx 2x 2 1 Y X 3 Math Quora | ![]() How Do I Solve The Following Differential Equation Math X 1 X 2 Dy Over Dx 2x 2 1 Y X 3 Math Quora | ![]() How Do I Solve The Following Differential Equation Math X 1 X 2 Dy Over Dx 2x 2 1 Y X 3 Math Quora |
「X(1-x^2)dy/dx (2x^2-1)y=ax^3」の画像ギャラリー、詳細は各画像をクリックしてください。
How Do I Solve The Following Differential Equation Math X 1 X 2 Dy Over Dx 2x 2 1 Y X 3 Math Quora | How Do I Solve The Following Differential Equation Math X 1 X 2 Dy Over Dx 2x 2 1 Y X 3 Math Quora | ![]() How Do I Solve The Following Differential Equation Math X 1 X 2 Dy Over Dx 2x 2 1 Y X 3 Math Quora |
![]() How Do I Solve The Following Differential Equation Math X 1 X 2 Dy Over Dx 2x 2 1 Y X 3 Math Quora | ![]() How Do I Solve The Following Differential Equation Math X 1 X 2 Dy Over Dx 2x 2 1 Y X 3 Math Quora | How Do I Solve The Following Differential Equation Math X 1 X 2 Dy Over Dx 2x 2 1 Y X 3 Math Quora |
![]() How Do I Solve The Following Differential Equation Math X 1 X 2 Dy Over Dx 2x 2 1 Y X 3 Math Quora | How Do I Solve The Following Differential Equation Math X 1 X 2 Dy Over Dx 2x 2 1 Y X 3 Math Quora | How Do I Solve The Following Differential Equation Math X 1 X 2 Dy Over Dx 2x 2 1 Y X 3 Math Quora |
「X(1-x^2)dy/dx (2x^2-1)y=ax^3」の画像ギャラリー、詳細は各画像をクリックしてください。
How Do I Solve The Following Differential Equation Math X 1 X 2 Dy Over Dx 2x 2 1 Y X 3 Math Quora | ![]() How Do I Solve The Following Differential Equation Math X 1 X 2 Dy Over Dx 2x 2 1 Y X 3 Math Quora | ![]() How Do I Solve The Following Differential Equation Math X 1 X 2 Dy Over Dx 2x 2 1 Y X 3 Math Quora |
How Do I Solve The Following Differential Equation Math X 1 X 2 Dy Over Dx 2x 2 1 Y X 3 Math Quora | How Do I Solve The Following Differential Equation Math X 1 X 2 Dy Over Dx 2x 2 1 Y X 3 Math Quora | How Do I Solve The Following Differential Equation Math X 1 X 2 Dy Over Dx 2x 2 1 Y X 3 Math Quora |
How Do I Solve The Following Differential Equation Math X 1 X 2 Dy Over Dx 2x 2 1 Y X 3 Math Quora | ![]() How Do I Solve The Following Differential Equation Math X 1 X 2 Dy Over Dx 2x 2 1 Y X 3 Math Quora | How Do I Solve The Following Differential Equation Math X 1 X 2 Dy Over Dx 2x 2 1 Y X 3 Math Quora |
「X(1-x^2)dy/dx (2x^2-1)y=ax^3」の画像ギャラリー、詳細は各画像をクリックしてください。
![]() How Do I Solve The Following Differential Equation Math X 1 X 2 Dy Over Dx 2x 2 1 Y X 3 Math Quora | ![]() How Do I Solve The Following Differential Equation Math X 1 X 2 Dy Over Dx 2x 2 1 Y X 3 Math Quora | ![]() How Do I Solve The Following Differential Equation Math X 1 X 2 Dy Over Dx 2x 2 1 Y X 3 Math Quora |
How Do I Solve The Following Differential Equation Math X 1 X 2 Dy Over Dx 2x 2 1 Y X 3 Math Quora | ![]() How Do I Solve The Following Differential Equation Math X 1 X 2 Dy Over Dx 2x 2 1 Y X 3 Math Quora | How Do I Solve The Following Differential Equation Math X 1 X 2 Dy Over Dx 2x 2 1 Y X 3 Math Quora |
![]() How Do I Solve The Following Differential Equation Math X 1 X 2 Dy Over Dx 2x 2 1 Y X 3 Math Quora | ![]() How Do I Solve The Following Differential Equation Math X 1 X 2 Dy Over Dx 2x 2 1 Y X 3 Math Quora | ![]() How Do I Solve The Following Differential Equation Math X 1 X 2 Dy Over Dx 2x 2 1 Y X 3 Math Quora |
「X(1-x^2)dy/dx (2x^2-1)y=ax^3」の画像ギャラリー、詳細は各画像をクリックしてください。
![]() How Do I Solve The Following Differential Equation Math X 1 X 2 Dy Over Dx 2x 2 1 Y X 3 Math Quora | ![]() How Do I Solve The Following Differential Equation Math X 1 X 2 Dy Over Dx 2x 2 1 Y X 3 Math Quora | ![]() How Do I Solve The Following Differential Equation Math X 1 X 2 Dy Over Dx 2x 2 1 Y X 3 Math Quora |
![]() How Do I Solve The Following Differential Equation Math X 1 X 2 Dy Over Dx 2x 2 1 Y X 3 Math Quora | ![]() How Do I Solve The Following Differential Equation Math X 1 X 2 Dy Over Dx 2x 2 1 Y X 3 Math Quora | ![]() How Do I Solve The Following Differential Equation Math X 1 X 2 Dy Over Dx 2x 2 1 Y X 3 Math Quora |
![]() How Do I Solve The Following Differential Equation Math X 1 X 2 Dy Over Dx 2x 2 1 Y X 3 Math Quora | ![]() How Do I Solve The Following Differential Equation Math X 1 X 2 Dy Over Dx 2x 2 1 Y X 3 Math Quora | ![]() How Do I Solve The Following Differential Equation Math X 1 X 2 Dy Over Dx 2x 2 1 Y X 3 Math Quora |
「X(1-x^2)dy/dx (2x^2-1)y=ax^3」の画像ギャラリー、詳細は各画像をクリックしてください。
![]() How Do I Solve The Following Differential Equation Math X 1 X 2 Dy Over Dx 2x 2 1 Y X 3 Math Quora | ![]() How Do I Solve The Following Differential Equation Math X 1 X 2 Dy Over Dx 2x 2 1 Y X 3 Math Quora | How Do I Solve The Following Differential Equation Math X 1 X 2 Dy Over Dx 2x 2 1 Y X 3 Math Quora |
How Do I Solve The Following Differential Equation Math X 1 X 2 Dy Over Dx 2x 2 1 Y X 3 Math Quora | How Do I Solve The Following Differential Equation Math X 1 X 2 Dy Over Dx 2x 2 1 Y X 3 Math Quora | How Do I Solve The Following Differential Equation Math X 1 X 2 Dy Over Dx 2x 2 1 Y X 3 Math Quora |
![]() How Do I Solve The Following Differential Equation Math X 1 X 2 Dy Over Dx 2x 2 1 Y X 3 Math Quora | How Do I Solve The Following Differential Equation Math X 1 X 2 Dy Over Dx 2x 2 1 Y X 3 Math Quora | How Do I Solve The Following Differential Equation Math X 1 X 2 Dy Over Dx 2x 2 1 Y X 3 Math Quora |
「X(1-x^2)dy/dx (2x^2-1)y=ax^3」の画像ギャラリー、詳細は各画像をクリックしてください。
How Do I Solve The Following Differential Equation Math X 1 X 2 Dy Over Dx 2x 2 1 Y X 3 Math Quora | ![]() How Do I Solve The Following Differential Equation Math X 1 X 2 Dy Over Dx 2x 2 1 Y X 3 Math Quora | How Do I Solve The Following Differential Equation Math X 1 X 2 Dy Over Dx 2x 2 1 Y X 3 Math Quora |
(x 3 x 2 x1)dy/dx=2x 2 x differential equations; See answers Advertisement Advertisement































































0 件のコメント:
コメントを投稿